Restauration de la sphère génitale
Auteure:
Dre méd. Sophie Menkes
Centre de Médecine Régénérative et Esthétique
Clinique de Genolier
E-mail: sophie@drmenkes.com
Sie sind bereits registriert?
Loggen Sie sich mit Ihrem Universimed-Benutzerkonto ein:
Sie sind noch nicht registriert?
Registrieren Sie sich jetzt kostenlos auf universimed.com und erhalten Sie Zugang zu allen Artikeln, bewerten Sie Inhalte und speichern Sie interessante Beiträge in Ihrem persönlichen Bereich
zum späteren Lesen. Ihre Registrierung ist für alle Unversimed-Portale gültig. (inkl. allgemeineplus.at & med-Diplom.at)
Face au syndrome génito-urinaire de la ménopause (GSM), de nouvelles approches régénératives comme le microfat/nanofat associé au plasma riche en plaquettes (PRP) offrent des perspectives prometteuses. Elles vont au-delà des traitements classiques en agissant directement sur l’inflammation, la trophicité et la régéné-ration tissulaire.
Keypoints
-
Le GSM est une pathologie fréquente, liée à une carence en œstrogènes associée à une inflammation chronique et à des altérations du microbiote, avec un impact significatif sur la qualité de vie.
-
Les traitements classiques restent limités; l’acide hyaluronique améliore l’hydratation mais avec un effet transitoire.
-
Les approches régénératives (microfat/nanofat + PRP) agissent sur la vascularisation, la néocollagénèse et l’inflammation.
-
Les résultats cliniques montrent une amélioration durable des symptômes et des scores (VHI, FSD), soutenant le potentiel de la médecine régénérative.
L’atrophie vulvo-vaginale est un trouble très fréquent qui est principalement lié au processus de vieillissement naturel, en particulier après la ménopause en raison d’une carence en œstrogènes.1 Cependant, ce problème ne concerne pas uniquement les femmes ménopausées, les jeunes femmes peuvent également être affectées, par exemple après une chimiothérapie, un accouchement ou en raison de la prise d’une pilule mal adaptée.
Cinquante pour cent des femmes ménopausées souffrent d’au moins un des symptômes cliniques liés à l’atrophie vaginale et sont affectées en termes de qualité de vie et d’activité sexuelle. Ce sujet reste tabou. Les seuls traitements conventionnels, à l’exception des crèmes et des lubrifiants à utiliser pendant les rapports sexuels, sont les thérapies hormonales substitutives. Ces dernières sont prescrites en l’absence de contre-indication, ainsi que les œstrogènes topiques.2
Symptômes et conséquences
Aujourd’hui, nous ne parlons pas d’atrophie vulvo-vaginale mais du syndrome génito-urinaire de la ménopause: le GSM. Il s’agit d’une association de symptômes et de signes qui affectent la vulve, le vagin, l’urètre et la vessie.
La fonction des grandes lèvres est de fermer et protéger la vulve. Cependant, elles perdent leur volume et s’aplatissent avec l’âge.
Les symptômes de l’atrophie vulvo-vaginale sont la sécheresse, les brûlures, l’irritation, la perte de lubrification, la laxité, l’inconfort et la douleur. Les conséquences sont des infections vaginales, des cystites, une dysurie et une dyspareunie.
Cette carence en œstrogènes va entrainer une réduction de la prolifération épithéliale, une réduction de la synthèse du glycogène, une élimination de la flore pelvienne normale (Lactobacillus) en raison d’un pH qui devient trop élevé, et une diminution de la vascularisation. Tout cela entraîne une diminution de la transsudation et donc des sécrétions vaginales.
La baisse d’œstrogènes lance le processus, mais ce n’est pas elle seule qui explique les symptômes: c’est surtout l’installation d’une inflammation chronique de bas grade de la muqueuse vulvo-vaginale et du bas appareil urinaire.
Quand la muqueuse s’amincit, devient plus fragile et que le pH augmente, le microbiote se modifie (moins de lactobacilles), ce qui entretient une activation immunitaire locale et une production de cytokines inflammatoires.
Ce terrain inflammatoire favorise ensuite le remodelage de la matrice extracellulaire, le stress oxydatif et une micro-vascularisation moins efficace, avec une muqueuse qui se déshydrate et résiste moins bien aux microtraumatismes.
En parallèle, l’interaction entre inflammation et système nerveux abaisse le seuil de la douleur, ce qui explique brûlures et dyspareunie parfois disproportionnées par rapport à l’examen clinique.
L’objectif est donc de restaurer un équilibre: réparer la barrière, réacidifier et soutenir le microbiote, calmer l’inflammation, et suivre l’évolution avec des scores simples.
La prévalence de la sécheresse vaginale varie entre 27 et 55%, la dyspareunie entre 32% et 42% et les infections des voies urinaires entre 4% et 15% chez les femmes ménopausées.
Nous pouvons mesurer l’impact de ces symptômes avec deux échelles. Le premier est le score de Vaginal Heath Index (VHI) qui est un indice de sécheresse vaginale, et le second est l’échelle de détresse sexuelle féminine révisée (FSD scale-revised) qui mesure la souffrance morale des femmes.
Options thérapeutiques
Le but de notre traitement est de régénérer la zone vulvo-vaginale pour augmenter la vascularisation, la néocollagénèse, la régénération des nerfs et des tissus, baisser l’inflammation, restaurer la trophicité et la fonction des grandes lèvres.
Les résultats attendus sont: hydratation et stimulation de la muqueuse vaginale, restauration du trophisme tissulaire, restauration de la flore bactérienne (Lactobacillus), de la transsudation normale, et restauration d’un pH normal, acide.
Nous disposons de divers outils tels que l’acide hyaluronique, son bénéfice a été démontré et publié: à 1 mois 90% des patientes sont satisfaites, 75% très satisfaites et 15% moyennement satisfaites. Ce taux diminue à 6 mois, il faut renouveler le traitement. Ce traitement permet la réhydratation de la muqueuse vaginale.3
On peut aussi utiliser le plasma riche en plaquettes (PRP),4 les lasers5 et la technique du microfat/nanofat grafting que nous avons développée il y a plus de 10 ans.
Le lipofilling, quant à lui, est aussi indiqué dans la restauration de la sphère intime pour améliorer le volume des grandes lèvres. C’est une modalité de traitement efficace pour restaurer le volume. Le lipofilling autologue est devenu une procédure populaire pour le rajeunissement des tissus mous et l’amélioration de la forme du corps en chirurgie esthétique et reconstructive.
La graisse peut être prélevée par une procédure simple, elle est complètement biocompatible et souvent disponible en grande quantité. Le lipofilling est désormais largement accepté pour restaurer les volumes et réparer.6
Alors que la manipulation chirurgicale et le prélèvement du tissu adipeux sont généralement des procédures simples, le tissu lui-même est complexe. Les tissus adipeux contiennent des adipocytes et des sous-populations cellulaires, notamment des cellules souches adipose derived stem cells (ASC), des cellules souches mésenchymateuses (MSC) et de nombreux autres types de cellules souches qui ont le potentiel de régénérer les tissus.
Matériel et méthode
Des patientes présentant des troubles trophiques vaginaux, une atrophie des grandes lèvres et un GSM ont été incluses.
La procédure microfat/nanofat est réalisée sous anesthésie locale. Après désinfection à la povidone iodée, la graisse est prélevée le plus superficiellement possible. L’objectif est d’obtenir un nombre maximum de cellules souches, de très petits lobules (900 microns), de la face externe de la cuisse, de la face interne du genou ou de l’abdomen.
L’anesthésie a été induite par infiltration avec une solution de Klein (500ml de solution saline normale, 50ml de lidocaïne à 2%, 1ml d’adrénaline au 1:1000 et 15ml de bicarbonate de sodium à 8,4%).
Pour le prélèvement, nous avons utilisé le Hapi Fat kit® (Benewmedical, Genève, Suisse); une canule 14G 130mm a été connectée à une seringue Luer Lock 10cc, et de petits lobules ont été prélevés sous une faible pression négative, via un système de valve et de connecteur Fat Lock, relié à une poche Pure Graft 50ml.
La procédure est menée dans un système fermé et la quantité de graisse prélevée varie de 30 à 50ml. Tous les 10ml la graisse dans la poche Pure Graft a été lavée avec 10ml de solution saline stérile. À la fin de la procédure, 40ml de graisse ont été collectés pour obtenir environ 20ml de tissu microfat.
L’émulsification du microfat, pour obtenir une suspension de nanofat, a été réalisée avec le kit Tulip® (Tulip Medical products, San Diego, CA); cela comprend trois connecteurs (2,4; 1,4 et 1,2mm). Le microfat est émulsifié entre deux seringues de 20cc, connectées l’une à l’autre par un connecteur Luer-lock femelle à femelle, on effectue 30 passages pour chaque connecteur.
Le filtre final est un dispositif de nanotransfert Tulip de 600/400 microns, et un seul passage permet d’obtenir un produit pur avec le moins de fibres possible, produit qui peut facilement être injecté à travers une canule 25G ou une aiguille 30G.
Un total de 8ml de suspension de nanofat devrait être obtenu à partir de 10ml de microfat.
À cette suspension, nous avons ajouté du plasma riche en plaquettes (PRP) à 20%, qui a été préparé à partir du sang natif du patient avec une centrifugation Duografter II en deux étapes (Fidia ®, Madrid, Espagne), après le comptage des plaquettes avec un Horiba ABS Micro® Dispositif (Axonlab, Baden, Suisse) pour assurer une qualité appropriée pour la réinjection.
Nous ajoutons également 20% de PRP au microfat, l’injection de 6ml de microfat-PRP, transféré dans une seringue de 1cc dans chaque grande lèvre, se fait à l’aide d’une canule 18G de 80mm, via 1 point d’entrée au sommet de chaque grande lèvre, avec une technique rétrograde, après anesthésie locale à la lidocaïne-épinéphrine 2%, 1ml dans chaque grande lèvre avec une aiguille 34G.
L’injection se fait sous le Dartos dans la couche graisseuse sous-cutanée, un total de 12ml de microfat-PRP a été injecté. Ensuite, après anesthésie locale 1 heure avant avec du gel urétral lidocaïne 5ml, nous injectons au total 9,6ml de nanofat-PRP dans le vagin avec une aiguille 30G: le vestibule avec technique multipoint, les parois latérales et la paroi postérieure, la zone du point G de chaque côté de l’urètre, également avec la technique multipoint, très superficiellement, environ 0,5–1mm de profondeur, avec un angle de 10 degrés, les 2–3 premiers centimètres.
La procédure dure environ 1 heure et est indolore. Seules des complications mineures ont été observées, notamment des rougeurs et des œdèmes entre 2 et 4 jours, ainsi que des ecchymoses et des douleurs au site donneur.
La patiente doit éviter la prise d’aspirine et de médicaments anti-inflammatoires pendant une semaine, ainsi que s’abstenir de nager, de sauna et de hammam pendant une semaine, de sports comme le vélo et l’équitation pendant 5 jours, et aucune activité sexuelle pendant 5 jours.
Résultats
Les patientes présentant des troubles trophiques vaginaux, une atrophie des grandes lèvres et un GSM sont traitées.
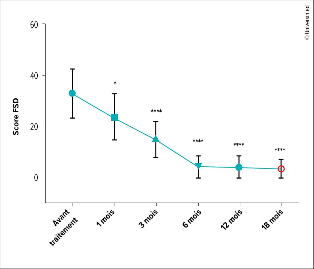
Après environ quatre semaines, les patientes commencent à ressentir au niveau de la muqueuse une meilleure hydratation, à douze semaines les rapports sexuels sont beaucoup moins douloureux. On obtient une très bonne amélioration du score VHI et de l’échelle FSD: à 6 mois plus de 80% des patientes ont normalisé ces 2 échelles.
Nous avons trouvé un bénéfice particulier sur la sécheresse, avec reprise des sécrétions vaginales et la dyspareunie, ainsi qu’une amélioration de la trophicité des grandes lèvres avec un effet liftant. Cinq ans après le traitement, 100% des patientes sont stables (Fig.1, 2).
Discussion
La graisse est composée de 30% à 60% d’adipocytes et de cellules sanguines. Après centrifugation, nous obtenons le culot rouge qui contient la fraction vasculaire stromale (SVF). Mais elle était jusqu’alors complexe et onéreuse à obtenir.La SVF est composée de cellules endothéliales, de cellules hématopoïétiques, de péricytes, de fibroblastes ... et les ASC, les plus importantes de toutes.
En effet, cette cellule est capable de se différencier en cellule d’autres tissus. Mais surtout, elle a une activité paracrine extrêmement importante, avec la sécrétion de facteurs de croissance: cytokines, facteurs chimiotactiques, stimulateurs de la matrice extra-cellulaire (ECM) et leurs inhibiteurs, médiateurs qui régulent l’inflammation, et régulent aussi certaines enzymes comme la cyclooxygénase.7,8Ce sécrétome est la clé de l’effet régénératif à travers les microvésicules et exosomes.9
La découverte des ASC a conduit à cette nouvelle technique: pour le nanofat grafting, cette émulsion est obtenue de façon purement mécanique, la SVF en est le composant principal. La graisse est facile à collecter avec des procédures approuvées, le traitement se fait en une journée et les tests cliniques ont confirmé sa sécurité. C’est une émulsion obtenue à partir d’une petite quantité de graisse autologue, avec de fortes capacités de régénération, qui peut être injectée à l’aide d’une fine aiguille ou d’une canule.10
Il est important d’en connaître la composition exacte. Cela change-t-il d’une procédure à l’autre? Les cellules sont-elles les mêmes d’une zone donneuse (comme l’abdomen ou les cuisses) à une autre? De nombreuses discussions et publications existent sur la taille de la canule, la désinfection, le lavage du produit, la zone de prélèvement. Il est certain que chaque étape du processus est importante et peut changer le résultat.11,12,13
Des études sont en cours, mais nous savons aujourd’hui que le nanofat contient encore de minuscules adipocytes viables, et de nombreuses cellules mésenchymateuses. Mais ces minuscules lobules sont insuffisants pour augmenter le volume, contrairement au microfat qui contient des adipocytes viables de 900 microns à 1200 microns ou au macrofat: lipofilling.14
Le PRP est défini comme la fraction plasmatique du sang autologue qui est une riche source de facteurs de croissance. Les plaquettes contiennent en effet entre 50 et 80 granules alpha par unité, chaque granule ayant plus de 30 protéines bioactives dont certains facteurs de croissance qui ont été étudiés.
Les principaux facteurs de croissance sont: le DG (Dystroglycan), qui permet la prolifération et la migration cellulaire, la synthèse du collagène de type I et III, le PDGF (Platelet-Derived Growth Factor), qui permet l’expression et l’interaction avec d’autres facteurs de croissance, et la prolifération cellulaire, l’IGF-I (Insulin-like Growth Factor-I), qui permet la prolifération et la migration cellulaire, la synthèse de la matrice extracellulaire ainsi que le remodelage et la synthèse de collagène.
Le VEGF (Vascular Endothelial Growth Factor) est l’un des plus importants car il permet la néovascularisation, l’angiogenèse et une perméabilité capillaire accrue. L’EGF (Epidermal Growth Factor) pour la prolifération cellulaire et la chimiotaxie. La BMP-12 (Bone Morphogenetic Protein 12) pour une expression accrue du collagène de type I, la stimulation de la production de collagène et la multiplication des fibroblastes.
L’ajout du PRP permet une amélioration de la prise de greffe avec une meilleure survie et prolifération des cellules.15,16Mais l’effet régénératif est-il en lien avec la capacité de différenciation et prolifération de la cellule ou de son activité paracrine?
Plusieurs études indiquent que le mécanisme d’action thérapeutique des cellules souches mésenchymateuses stromales (CSM) est principalement médié par des facteurs paracrines qui sont libérés par les CSM, tels que les exosomes. Les exosomes sont des vésicules extracellulaires de taille nanométrique qui sont transférées vers des cellules cibles pour une communication de cellule à cellule.
Les microvésicules extracellulaires libérées par les cellules semblent être les composants clés du sécrétome cellulaire. Cette procédure autologue peut fournir une très bonne amélioration dans toutes ces indications, bien que des études supplémentaires soient nécessaires.
Plus récemment encore, les rôles fonctionnels des exosomes sont en cours d’étude. Les exosomes des cellules souches mésenchymateuses semblent être des options de traitement intéressantes pour la croissance des cheveux, mais également pour l’amélioration de la peau, en termes de rides, de taches, d’inflammation, de cicatrices et de la muqueuses vaginale.
Reste à déterminer leur principale limite de production, s’ils ne sont pas autologues. Mais l’avenir est-il dans la préparation d’exosomes hétérologues?
Conclusion
Bien que les exosomes dérivés des CSM (exosomes de CSM) soient proposés comme de nouvelles thérapies acellulaires pour diverses maladies humaines, les études d’évaluation de la sécurité et de la toxicité des exosomes de CSM sont limitées.
Les premières publications suggèrent que les exosomes de l’ASC sont sûrs pour une utilisation en tant que traitement topique, sans effets indésirables dans les tests toxicologiques, et ont une application potentielle en tant qu’agent thérapeutique, ingrédient cosmétique, ou pour d’autres utilisations biologiques.
Les résultats sur la peau et les cheveux viennent d’être publiés, ils sont également très prometteurs.
Nous avons procédé à une étude clinique, dans l’indication de l’atrophie vaginale, qui sera très prochainement publiée. Les résultats montrent une amélioration significative des scores, les exosomes proviennent de la cellule souche de la rose de Damas.
La médecine régénérative est l’avenir de la médecine, nous ne sommes qu’au début de l’histoire, mais nous avançons à pas de géant.
Littérature:
1 Kim HK et al.: The recent review of the genitourinary syndrome of menopause. J Menopausal Med 2015; 21(2): 65-71 2 Cumming GP et al.: Women’s attitudes to hormone replacement therapy, alternative therapy and sexual health: a web-based survey. Menopause Int 2007; 13(2): 79-83 3 Oliva C, Fasola E: Acide hyaluronique et sphère génitale: FIGO Rome, 2012 4 Kim SH et al.: Rejuvenation Using Platelet-rich Plasma and Lipofilling for Vaginal Atrophy and Lichen Sclerosus. J Menopausal Med 2017; 23(1): 63-8 5 Murina F et al.: Ospemifene plus fractional CO2 laser: a powerful strategy to treat postmenopausal vulvar pain. Gynecol Endocrinol 2020; 36(5): 431-5 6 Coleman SR: Structural fat grafts: the ideal filler? Clin Plast Surg 2001; 28(1): 111-9 7 Memar O et al.: Nanofat grafting: Basic research and clinical application. Plast Reconstr Surg 2014; 133(5): 728e 8 Charles-de-Sá L et al.: Antiaging treatment of the facial skin by fat graft and adipose derived stem cells. Plast Reconstr Surg 2015; 135(4): 999-1009 9 Colombo M et al.: Biogenesis, secretion, and intercellular interactions of exosomes and other extracellular vesicles. Annu Rev Cell Dev Biol 2014; 30: 255-89 10 Tonnard P et al.: Nanofat grafting: Basic research and clinical applications. Plast Reconstr Surg 2013; 132(4): 1017-26 11 Rodriguez, RL, Condé-Green A: Reply: adipocyte damage in relation to different pressures generated during manual lipoaspiration with a syringe. Plast Reconstr Surg 2013; 131(4): 646e-647e 12 Trivisonno A et al.: Harvest of superficial layers of fat with microcannula and isolation of adipose tissue-derived stromal and vascular cells. Aesthet Surg J 2014; 34(4): 601-13 13 Condé-Green A et al.: Influence of decantation, washing and centrifugation on adipocyte and mesenchymal stem cell content of aspirated adipose tissue: a comparative study. J Plast Reconstr Aesthet Surg 2010; 63(8): 1375-81 14 Alharbi Z et al.: Conventional vs. microfat harvesting how fat harvesting technique affects tissue engineering approaches using adipose tissue derived stem/stromal cells. J Plast Reconstr Aesthet Surg 2013; 66(9): 1271-8 15 Pires Fraga FM et al.: Increased survival of free fat grafts with platelet-rich plasma in rabbits. J Plast Reconstr Aesthet Surg 2010; 63(12): e818-22 16 Liao HT et al.: The Effects of Platelet-Rich Plasma on Cell Proliferation and Adipogenic Potential of Adipose-Derived Stem Cells. Tissue Eng Part A 2015; 21(21-22): 2714-22
Das könnte Sie auch interessieren:
Comorbidités de la dermatite atopique
La dermatite atopique (DA) est souvent associée à des comorbidités atopiques et non atopiques. L’apparition ou le risque de maladies concomitantes peut influencer la prise en charge des ...
Thérapie biologique: pipeline et clinique
Les médicaments biologiques offrent la possibilité d’intervenir de manière ciblée dans les processus immunitaires à l’origine de la dermatite atopique. Cette voie a d’abord été empruntée ...
Aspects centraux de la dermatite atopique
Au-delà du traitement médicamenteux, la prise en compte des facteurs environnementaux, l’assurance de l’adhérence et l’adaptation du traitement aux comorbidités ou aux changements de ...