Wie kann ich eine Blutungsneigung quantifizieren?
Autor:innen:
Priv. Doz. Dr. Dino Mehic, PhD, MSc
Ap. Prof. Priv. Doz. Dr. Johanna Gebhart, PhD
Klinische Abteilung für Hämatologie und Hämostaseologie, Universitätsklinik für Innere Medizin I, Medizinische Universität Wien
Korrespondenz:
E-Mail: dino.mehic@meduniwien.ac.at
Sie sind bereits registriert?
Loggen Sie sich mit Ihrem Universimed-Benutzerkonto ein:
Sie sind noch nicht registriert?
Registrieren Sie sich jetzt kostenlos auf universimed.com und erhalten Sie Zugang zu allen Artikeln, bewerten Sie Inhalte und speichern Sie interessante Beiträge in Ihrem persönlichen Bereich
zum späteren Lesen. Ihre Registrierung ist für alle Unversimed-Portale gültig. (inkl. allgemeineplus.at & med-Diplom.at)
Eine erhöhte Blutungsneigung ist in der klinischen Praxis eine häufige, aber diagnostisch anspruchsvolle Herausforderung. Standardisierte Blutungsfragebögen sind deswegen ein unverzichtbares Instrument in der Hämostaseologie geworden. In diesem Artikel werden ihre Anwendung, ihr Einsatzspektrum und ihre Stärken und Limitationen besprochen.
Patient:innen mit erhöhter Blutungsneigung stellen in der klinischen Praxis eine häufige, aber diagnostisch anspruchsvolle Herausforderung dar. Während ausgeprägte Gerinnungsstörungen wie zum Beispiel Hämophilie A und B meist schon in der Kindheit diagnostiziert werden, werden Patient:innen mit milden bis moderaten Blutungsneigungen oftmals erst im Erwachsenenalter zur Untersuchung zugewiesen. Eine strukturierte und objektive Erfassung der Blutungsanamnese ist ein entscheidender erster Schritt, um angeborene von erworbenen Blutungsneigungen zu differenzieren, den Schweregrad der Blutungsneigung einzuordnen, die Diagnostik gezielt zu steuern und Therapieentscheidungen zu unterstützen. Standardisierte Blutungsfragebögen, die „bleeding assessment tools“ (BAT), haben sich dabei als zentrales Instrument etabliert, um den Blutungsschweregrad bei angeborenen Blutgerinnungsstörungen zu objektivieren.1
Strukturierte Erfassung der Blutungsanamnese
Die Abklärung einer Blutungsneigung beginnt stets mit einer sorgfältigen klinischen Anamnese und physikalischen Untersuchung, um zwischen erworbenen und angeborenen Ursachen zu unterscheiden. Bei Verdacht auf eine hereditäre Blutungsneigung folgt eine strukturierte Erhebung der Blutungssymptome und des Schweregrades mithilfe von BAT. Auch wenn diese nicht für alle Gerinnungsstörungen validiert sind, sind sie ein hilfreiches Instrument zur Abschätzung der Vortestwahrscheinlichkeit einer angeborenen Blutgerinnungsstörung.1 Die BAT-Fragebögen ermöglichen eine objektive Erfassung der Blutungssymptome und unterstützen eine zielgerichtete Diagnostik von Gerinnungsstörungen. Darüber hinaus werden BAT zunehmend in der Forschung eingesetzt, um Patient:innen systematisch zu charakterisieren, klinische Kohorten zu vergleichen und Studienergebnisse zu standardisieren. Auch eine präzise Phänotypisierung, etwa im Rahmen von HPO-Coding, wird dadurch erleichtert.
BAT: Entwicklung und Anwendung
Ursprünglich wurden Blutungsfragebögen vor allem zur Erfassung von Symptomen bei der Von-Willebrand-Erkrankung (VWE) entwickelt, der häufigsten angeborenen Blutgerinnungsstörung.
Im Gegensatz zu schweren Gerinnungsdefekten wie der Hämophilie A oder B korreliert bei milden bis moderaten Blutungsstörungen, wie auch bei den meisten Formen der VWE, der Schweregrad der Blutungsneigung häufig nicht mit den gemessenen Gerinnungsfaktorspiegeln. Daher ist eine quantitative Erfassung der klinischen Symptomatik von besonderer Bedeutung. Bei Patient:innen mit Blutungen unklarer Genese („bleeding disorder of unknown cause“; BDUC) stellt eine klinisch relevante Blutungsneigung häufig den einzigen objektivierbaren Befund dar (Abb.1).2 Auch bei Patient:innen mit „Low VWF“-Werten (30–50IU/L) ist das Vorliegen einer signifikanten Blutungsneigung diagnostisch wegweisend.3
Abb. 1: Klinische Charakteristika und Herausforderungen bei Patient:innen mit Blutungen unklarer Genese
Einer der ersten validierten Scores war der Vicenza Bleeding Score, der 2005 publiziert wurde, gefolgt vom MCMDM-1VWD-BAT, das ebenfalls für das VWS entwickelt wurde.4,5 Das derzeit international empfohlene BAT der International Society on Thrombosis and Hemostasis (ISTH-BAT) wurde 2010 eingeführt und bietet geschlechts- sowie für Frauen auch altersabhängige Referenzwerte.6 Eine neuere Weiterentwicklung stellt das Self-BAT dar, das von Patient:innen selbstständig ausgefüllt werden kann, ohne dass geschultes Personal erforderlich ist.7
Das ISTH-BAT umfasst 14 Kategorien typischer Blutungssymptome, darunter Epistaxis, Hautblutungen, Blutungen nach kleinen Verletzungen, Blutungen der Mundhöhle, gastrointestinale Blutungen, Hämaturie, Blutungen nach Zahnextraktionen oder Operationen, Menorrhagie, postpartale Blutungen, Muskelhämatome, Hämarthrosen, ZNS-Blutungen und sonstige Blutungsprobleme – wie z.B. Ovulationsblutungen, Blutungen nach Venenpunktionen oder aus der Nabelschnur.
Jedes Symptom wird auf einer fünfstufigen Skala bewertet, die von „keine Blutung“ bzw. „trivial“ bis zu „schwer“ reicht, wobei schwere Blutungen beispielsweise Transfusionen oder chirurgische Blutstillung erfordern. Ein pathologisches Ergebnis liegt bei erwachsenen Männern ab vier, bei Frauen ab sechs und bei Kindern ab drei Punkten vor. Allerdings ist zu beachten, dass, unabhängig von der Punktezahl, bei klinischem Verdacht eine weiterführende Diagnostik durchgeführt werden sollte. Der Fragebogen ist online frei verfügbar und kann in der klinischen Routine problemlos eingesetzt werden.
Die Durchführung sollte idealerweise durch geschultes Fachpersonal erfolgen, da die Bewertung der Symptome Erfahrung erfordert, insbesondere um zwischen trivialen und pathologischen Blutungen differenzieren zu können.
Die Vienna Bleeding Biobank
Zur besseren Charakterisierung von Patient:innen mit leichter bis moderater Blutungsneigung wurde im Jahr 2009 an der Gerinnungsambulanz der Medizinischen Universität Wien die Vienna Bleeding Biobank etabliert.8 Es handelt sich um eine prospektive, unizentrische Kohortenstudie, die Patient:innen mit erhöhter Blutungsneigung systematisch erfasst und umfassend hämostaseologisch charakterisiert. Ziel der Biobank ist es unter anderem, auch die diagnostische sowie prädiktive Aussagekraft von BAT zu untersuchen (Abb.2).
Stärken und Limitationen von Blutungsfragebögen
Blutungsfragebögen stellen eine wertvolle Entscheidungshilfe bei der Abklärung von Blutungssymptomen dar, sind aber nicht frei von Limitationen. Ein ideales BAT sollte klinisch praktikabel, objektiv und reproduzierbar sein und unabhängig von Alter, Geschlecht, Expositionszeit oder Therapieanamnese angewendet werden können. Zudem sollte es eine hohe Trennschärfe zwischen Personen mit und ohne klinisch relevante Blutungsneigung aufweisen und das Risiko zukünftiger Blutungsereignisse zuverlässig abschätzen.1
Die Sensitivität und Spezifität der bisher verfügbaren Blutungsfragebögen wurden vor allem für die VWE untersucht, mit teils eingeschränkten Ergebnissen zwischen den verschiedenen Scores. Mit einer Spezifität von 98% bzw. 99% eines abnormalen Scores zum Nachweis einer VWE hatten dabei der Vicenza-Score bzw. das ISTH-BAT die besten Ergebnisse.1
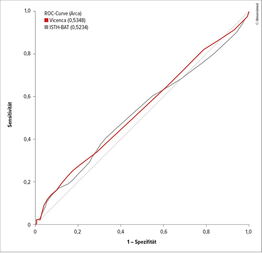
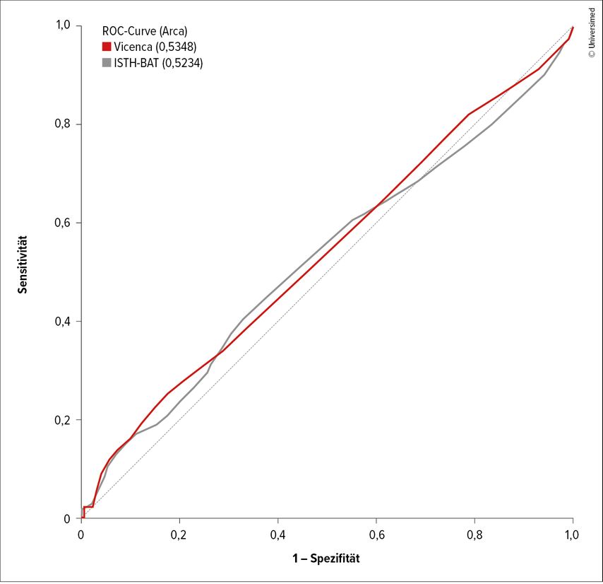
Allerdings zeigten Daten aus der VIBB, dass weder das ISTH-BAT noch der Vicenza-Score zuverlässig zwischen Patient:innen mit einer klar definierten hämostatischen Störung (etwa einer VWE oder Thrombozytenfunktionsdefekten) und solchen mit BDUC unterscheiden kann (Abb.3).9
Diese Ergebnisse unterstreichen die Notwendigkeit, BAT weiterzuentwickeln, um die diagnostische Präzision in dieser heterogenen Patient:innengruppe zu verbessern.
Abb. 3: Receiver-Operating-Characteristic(ROC)-Kurven zur Vorhersage einer Diagnose einer Blutungsstörung (vs. BDUC) anhand von zwei verschiedenen Blutungsbewertungstools (Vicenza-BAT und ISTH-BAT) (modifiziert nach Gebhart J et al.)9
Auch Alter und Geschlecht beeinflussen die Blutungsfragebögen wesentlich. Bei Frauen tragen vor allem Menstruations- und postpartale Blutungen zu höheren Scores bei.12 Ob darüber hinaus geschlechtsspezifische Unterschiede in der Blutungsneigung bestehen, ist unklar. Mit zunehmendem Alter steigt die Zahl hämostatischer Herausforderungen wie Operationen oder invasiver Eingriffe, während Komorbiditäten, Medikamente und altersbedingte Veränderungen das Blutungsrisiko zusätzlich beeinflussen. Ergebnisse aus der Vienna Bleeding Biobank bestätigen, dass die Blutungsneigung mit dem Alter zunimmt, sowohl bei Patient:innen mit „low“ VWF als auch bei solchen mit BDUC.
Trotz ihres hohen Nutzens haben BAT Limitationen: Da sie kumulativ berechnet werden, sind BAT bei Patient:innen mit wenigen hämostatischen Herausforderungen weniger aussagekräftig. Der altersabhängige Anstieg der Scores würde eigentlich angepasste Grenzwerte benötigen und die Bewertung von Blutungsereignissen nach Operationen mit Therapie oder Prophylaxe ist bisher nicht standardisiert. Da immer das am schwersten wiegende Ereignis eines Symptoms beurteilt wird, erfassen BAT primär die Schwere eines Blutungsereignisses, aber nicht die Häufigkeit von Blutungen.
Prognostische Aussagekraft von validierten Blutungsfragebögen
Die prognostische Aussagekraft von BAT für zukünftige Blutungsereignisse ist bislang nicht einheitlich beschrieben. Eine italienische Studie fand bei Patient:innen mit milden bis moderaten Blutungsstörungen keinen signifikanten Unterschied im Risiko für Rezidivblutungen zwischen Personen mit ISTH-BAT-Werten über oder unter fünf Punkten.10 Im Gegensatz dazu zeigten Daten aus der Vienna Bleeding Biobank, dass ein höherer Vicenza-Score mit einem insgesamt erhöhten Risiko für erneute Blutungsereignisse assoziiert ist.11
Für Blutungen nach Operationen, Geburten oder Zahnextraktionen erwiesen sich die Ergebnisse der BAT bei Ersteinschluss der Patient:innen hingegen nicht als signifikanter Prädiktor, während frühere postoperative Blutungen und die Blutgruppe 0 als unabhängige Risikofaktoren identifiziert wurden.
Schlussfolgerung und Bedeutung für die Praxis
Standardisierte Blutungsfragebögen wie das ISTH-BAT sind heute ein unverzichtbares Instrument in der Hämostaseologie. Sie ermöglichen eine strukturierte, objektive und reproduzierbare Erfassung der Blutungsanamnese und bilden die Grundlage für eine gezielte Diagnostik. Insbesondere bei Patient:innen mit milder bis moderater oder unklarer Blutungsneigung unterstützen sie bei der klinischen Einschätzung. Ihre konsequente Anwendung verbessert nicht nur die diagnostische Präzision, sondern ermöglicht auch, Patient:innenpopulationen in Rahmen von Studien besser zu vergleichen. Langfristig kann auch ihre standardisierte Nutzung dazu beitragen, Patient:innengruppen besser zu charakterisieren und deren Versorgung weiter zu optimieren.
Literatur:
1 Elbaz C, Sholzberg M: An illustrated review of bleeding assessment tools and common coagulation tests. Res Pract Thromb Haemost 2020; 4(5): 761-73 2 Mehic D et al.: Bleeding disorder of unknown cause: a diagnosis of exclusion. Hamostaseologie 2024; 44(4): 287-97 3 O’Donnell JS: Low VWF: insights into pathogenesis, diagnosis, and clinical management. Blood Adv 2020; 4(13): 3191-9 4 Rodeghiero F et al.: The discriminant power of bleeding history for the diagnosis of type 1 von Willebrand disease: an international, multicenter study. J Thromb Haemost 2005; 3(12): 2619-26 5 Azzam HAG et al.: The condensed MCMDM-1 VWD bleeding questionnaire as a predictor of bleeding disorders in women with unexplained menorrhagia. Blood Coagul Fibrinolysis 2012; 23(4): 311-5 6 Rodeghiero F et al.: ISTH/SSC bleeding assessment tool: astandardized questionnaire and a proposal for a new bleeding score for inherited bleeding disorders. J Thromb Haemost 2010; 8(9): 2063-65 7 Hansen RS et al.: Self-administered bleeding assessment tool scores in individuals with verified bleeding disorders. Eur J Haematol 2025; doi: 10.1111/ejh.70056 8 Gebhart J et al.: High proportion of patients with bleeding of unknown cause in persons with a mild-to-moderate bleeding tendency: results from the Vienna Bleeding Biobank (VIBB). Haemophilia 2018; 24(3): 405-13 9 Gebhart J et al.: The discriminatory power of bleeding assessment tools in adult patients with a mild to moderate bleeding tendency. Eur J Intern Med 2020; 78: 34-40 10 Fasulo MR et al.: The ISTH Bleeding Assessment Tool and the risk of future bleeding. J Thromb Haemost 2018; 16(1): 125-30 11 Mehic D et al.: Risk factors for future bleeding in patients with mild bleeding disorders: longitudinal data from the Vienna Bleeding Biobank. JThromb Haemost 2023; 21(7): 1757-68 12 Doherty D et al.: Variability in International Society on Thrombosis and Haemostasis-Scientific and Standardization Committee endorsed Bleeding Assessment Tool (ISTH-BAT) score with normal aging in healthy females: contributory factors and clinical significance. J Thromb Haemost 2023; 21(4): 880-6
Das könnte Sie auch interessieren:
Kutane oder systemische Mastozytose – was macht die Hämatologie?
Mastzellerkrankungen sind eine heterogene Gruppe von Erkrankungen, die von einer Vielzahl zugrunde liegender genetischer Veränderungen und Komorbiditäten beeinflusst werden und in ihrem ...
Gestiegene Lebenserwartung dank neuer Therapien
Assoc.-Prof PD Dr. Karoline Gleixner und Ao. Univ.-Prof. Dr. Wolfgang R. Sperr, beide Universitätsklinik für Innere Medizin I, Medizinische Universität Wien/AKH Wien, leiteten durch die ...
Ausgezeichnete Studien aus dem Bereich der Hämatologie
Im Rahmen der Jahrestagung der Deutschen, Österreichischen und Schweizerischen Gesellschaften für Hämatologie und Medizinische Onkologie werden jedes Jahr diverse Preise und ...